
Professor Yates
Large Sample Confidence Intervals for Difference in Population Proportion
Slide Duration:Table of Contents
Section 1: Introduction
Basic Ideas
17m 34s
- Intro0:00
- Basic Definitions0:09
- Element (member, unit)0:20
- Variable1:01
- Observation (measurement)1:18
- Data Set1:40
- Example: Basic Definitions1:55
- Qualitative Variables4:58
- Quantitative Variables6:16
- Discrete Variable6:33
- Continuous Variable7:36
- Cross Section vs Time Series Data8:58
- Summation Notation10:50
- Summation Notation 212:59
- Summation Notation 315:32
Section 2: Exploring Data
Raw Data, Dotplots, Stemplots
27m 24s
- Intro0:00
- Raw Data0:07
- Ungrouped Data0:25
- Example: Ages0:39
- Features of Graphical Displays of Distributions1:28
- Center and Spread1:54
- Clusters and Gaps2:04
- Outliers (extreme values)2:12
- Symmetric2:48
- Skewed3:14
- Uniform3:47
- Dotplots4:58
- Example: Dotplots8:51
- Stemplot11:12
- Stem and Leaf11:17
- Example: Stemplot15:18
- Extra Example 1-1
- Extra Example 2-2
Histograms, Cumulative Frequency Plots
10m 21s
- Intro0:00
- Features of Graphical Displays of Distributions0:07
- Histogram3:03
- Common Programs3:09
- Example: Histogram6:14
- Cumulative Frequency Plot7:43
- Example: Cumulative Frequency Plot8:16
Summarizing Distributions, Measuring Center
16m 4s
- Intro0:00
- Measures of Central Tendency0:08
- Mean (average)0:28
- Mean for Population Data0:51
- Mean for Sample Data1:18
- Example: Mean1:57
- Example: Mean2:49
- Median3:53
- Example: Median4:52
- Example: Median6:47
- Mode8:01
- Unimodal8:11
- Bimodal8:19
- Multimodal8:24
- Example: Mode8:34
- Example: Mode9:53
- Effect of Changing Units10:31
- Extra Example 1-1
- Extra Example 2-2
Measuring Spread: Range, IQR, Standard Deviation
18m 4s
- Intro0:00
- Measuring Spread0:08
- Range1:06
- Example1:16
- Example1:35
- Standard Deviation2:05
- Population Standard Deviation2:14
- Sample Standard Deviation3:13
- Example: Standard Deviation4:11
- Example: Standard Deviation6:05
- Interquartile Range (IQR)8:05
- Example: Interquartile Range9:03
- Example: Interquartile Range10:27
- Extra Example 1-1
- Extra Example 2-2
Measuring Position: Quartiles, Percentiles, Standardized Scores
16m 28s
- Intro0:00
- Measure of Position0:09
- Quartile, Percentile, Z-Scores0:24
- Quartiles (Q1, Q2, Q3)0:32
- Example0:51
- Example: Quartiles1:28
- Example: Quartiles3:27
- Percentiles5:44
- Example: Percentiles6:19
- Example: Percentiles7:24
- Standardized Score (Z-Score)8:27
- Example: Standardized Score9:23
- Example: Standardized Score10:21
- Extra Example 1-1
- Extra Example 2-2
Boxplots
15m 37s
- Intro0:00
- What is a Boxplot?0:05
- Five Number Summary0:15
- Example: Boxplot0:30
- Example: Boxplot4:33
- Extra Example 1-1
- Extra Example 2-2
Comparing Distributions of Univariate Data
24m 19s
- Intro0:00
- Comparing Features0:07
- Compare Center & Spread0:11
- Compare Clusters & Gaps0:23
- Compare Outliers and Unusual Features0:33
- Compare Shapes0:55
- Symmetric1:00
- Skewed Right1:20
- Skewed Left1:31
- Uniform1:41
- Example: Dotplots1:56
- Example: Back to Back Stemplots5:16
- Example: Parallel Boxplots10:21
- Example: Back to Back Stemplots15:03
- Extra Example 1-1
- Extra Example 2-2
Exploring Bivariate Data: Scatterplots
13m 45s
- Intro0:00
- Bivariate Data0:08
- Example: Student Scores0:31
- Example: Scatterplot1:08
- Example: Scatterplot2:36
- Correlation and Linearity3:49
- Example: Correlation5:30
- Example: Correlation6:55
- Extra Example 1-1
- Extra Example 2-2
Least Squares Regression
17m 32s
- Intro0:00
- Least Squares Regression Line0:06
- Why Least Squares?0:25
- Equations1:21
- Example 1: Age and Price2:02
- Example 2: Weld Diameter5:47
- Diagnostics8:39
- Residuals8:58
- Normal Probability Plot10:09
- Studentized Residuals (Hat Matrix)10:29
- Transformations10:48
- Logarithmic Transformation11:04
- Square Root Transformation11:44
- Extra Example 1-1
- Extra Example 2-2
Exploring Categorical Data
17m
- Intro0:00
- Frequency Tables0:05
- Example: Student Age0:16
- Relative Frequency0:55
- Bar Graphs1:59
- Marginal and Joint Probabilities3:54
- Example 1: Gender and Beer6:52
- Conditional Probabilities8:47
- Example 2: Gender and Beer11:41
- Extra Example 1-1
- Extra Example 2-2
Section 3: Sampling and Experimentation
Methods of Data Collection
12m 4s
- Intro0:00
- Purpose0:05
- Census1:22
- Example: US Census1:36
- Example: Fireworks Factory2:34
- Sample Survey3:41
- Experiment6:12
- Example: Coke vs Pepsi7:09
- Observational Study8:19
- Observational or Experiment9:30
- Example 19:53
- Example 210:24
- Example 311:17
Planning and Conducting Surveys
13m 51s
- Intro0:00
- Ideal Surveys0:06
- Random Selection0:16
- Characteristics of Surveys0:42
- Chance0:50
- Random Samples1:02
- No Source of Bias1:32
- Populations, Samples, Random Selection2:21
- Population2:28
- Sample2:51
- Sources of Bias4:14
- Example4:33
- Sampling Methods7:27
- Simple Random Sampling (SRS)7:40
- Example8:33
- Stratified Random Sampling (Strata)10:03
- Example11:06
- Cluster Sampling12:19
- Example13:06
Planning and Conducting Experiments
19m 32s
- Intro0:00
- Purpose0:06
- Characteristics1:00
- Basic Terms2:00
- Treatment2:12
- Control Group2:30
- Experimental Units3:17
- Random Assignment3:38
- Replication4:19
- Sources of Bias and Confounding4:48
- Counfounding5:00
- Example5:29
- Placebo Effect6:41
- Example7:08
- Blinding7:56
- Example8:24
- Completely Randomized Design9:12
- Randomized Block Design12:44
- Block12:55
- Matched Pairs13:22
- Example13:41
- Randomized Block Design15:09
- Example15:30
- Studies and Surveys vs Experiments17:03
Section 4: Probability
Experiment, Outcomes, and Sample Space
14m 54s
- Intro0:00
- Basic Definitions0:29
- Experiment0:35
- Outcomes0:55
- Sample Space1:04
- Examples1:34
- Roll a Die1:39
- Flip a Coin2:33
- Simple and Compound Events3:30
- Event3:43
- Simple Event3:58
- Compound Event4:27
- Example5:14
- Extra Example 1-1
- Extra Example 2-2
Calculating Probability
14m 13s
- Intro0:00
- What is Probability0:27
- Range0:53
- Sum of Probabilities1:26
- Example: Football Game2:05
- Classical Probability2:53
- Equally Likely Outcomes3:05
- Example: Coin Flip4:08
- Example: Die Roll5:12
- Relative Frequency6:44
- Example7:22
- Subjective Probability9:38
- Example10:06
- Extra Example 1-1
- Extra Example 2-2
Probability and Events
22m 8s
- Intro0:00
- Mutually Exclusive Events0:17
- Example: Coin Flip0:27
- Example: Die Roll3:03
- Independent Events5:13
- Notation3:31
- Example: Coin6:01
- Independent Events, cont.9:19
- Example: Coffee Drinkers9:23
- Mutually Exclusive vs Independent13:03
- Complementary Events14:08
- Example: Coffee Drinkers15:37
- Extra Example 1-1
- Extra Example 2-2
Intersection of Events and the Multiplication Rule
19m 58s
- Intro0:00
- Intersection of Events0:08
- Venn Diagram1:20
- Multiplication Rule2:22
- Joint Probability2:23
- Example3:23
- Example6:30
- Multiplication Rule for Independent Events10:30
- Example11:39
- Joint Probability of Mutually Exclusive Events15:24
- Extra Example 1-1
- Extra Example 2-2
Union of Events and the Addition Rule
18m 28s
- Intro0:00
- Union of Events0:06
- Venn Diagram0:52
- Addition Rule2:01
- Example: Coffee Drinkers3:25
- Example6:26
- Addition Rule for Mutually Exclusive Events9:11
- Example10:27
- Extra Example 1-1
- Extra Example 2-2
Bayes' Rule
16m 59s
- Intro0:00
- Partition of Events0:07
- Venn Diagram0:17
- Law of Total Probability3:12
- Bayes' Rule6:11
- Example9:09
- Extra Example 1-1
Section 5: Discrete Random Variables and Probability Distribution
Random Variables
7m 52s
- Intro0:00
- Definition0:06
- Example0:24
- Discrete Random Variables1:22
- Example1:56
- Continuous Random Variable3:53
- Example4:12
- Extra Example 1-1
Probability Distribution of a Discrete Random Variable
15m 55s
- Intro0:00
- Definition0:09
- Example0:24
- Rules of a Probability Distribution3:27
- Rule 13:33
- Rule 24:30
- Example 14:59
- Example 26:00
- Example 36:38
- Example: Defective DVDs7:19
- Extra Example 1-1
- Extra Example 2-2
Mean and Standard Deviation of a Discrete Random Variable
17m 37s
- Intro0:00
- Mean of a Discrete Random Variable0:10
- Example1:17
- Example: Numbers Game3:09
- Standard Deviation of a Discrete Random Variable6:02
- Example7:46
- Example: Cars in a Town10:12
- Extra Example 1-1
- Extra Example 2-2
Factorials, Combinations, Permutations
15m 43s
- Intro0:00
- Counting Rule0:08
- Example: Coin Toss0:56
- Example: Football Team1:45
- Factorials2:54
- Example3:39
- Zero Factorial4:03
- Example4:20
- Combinations5:16
- Example6:23
- Permutations8:16
- Example9:01
- Extra Example 1-1
- Extra Example 2-2
Binomial Probability Distribution
21m 38s
- Intro0:00
- Binomial Experiment0:07
- Discrete Random Variable0:34
- Trial1:01
- Bernoulli Trials1:26
- Example: Roll Die2:37
- Binomial Probability Distribution4:36
- Example: Winter Holiday Stress6:58
- Example: MRI9:51
- Probability of Success and Shape12:42
- Symmetric12:54
- Skewed Right13:23
- Skewed Left14:13
- Mean/Standard Deviation of Binomial Distribution15:03
- Example: Stress16:06
- Example: MRI17:07
- Extra Example 1-1
- Extra Example 2-2
Poisson Probability Distribution
13m 40s
- Intro0:00
- Poisson Probability Distribution0:06
- Conditions0:43
- Example: Complaints3:18
- Example: Failed Businesses5:01
- Mean/Standard Deviation of Poisson Distribution7:52
- Example: Complaints8:53
- Example: Failed Businesses9:46
- Extra Example 1-1
- Extra Example 2-2
Geometric and Hypergeometric Probability Distributions
19m 8s
- Intro0:00
- Geometric Probability Distribution0:08
- Example: Engine Malfunction3:00
- Example: Interviews5:45
- Hypergeometric Probability Distribution7:36
- Example: Engineers10:16
- Example: Marbles12:55
- Extra Example 1-1
- Extra Example 2-2
Combining Independent Random Variables
20m 26s
- Intro0:00
- Independence vs Dependence0:09
- Mean of Sums for Independent Random Variables2:32
- Example4:02
- Example5:58
- Variance for Sums of Independent Random Variables8:49
- Example10:30
- Example12:26
- Extra Example 1-1
- Extra Example 2-2
Section 6: Continuous Random Variables and the Normal Distribution
Continuous Probability Distribution
6m 19s
- Intro0:00
- Continuous Random Variable0:07
- Probability Density Function0:54
- More About Densities3:07
- More About Densities, cont.4:06
Normal Distribution
6m 42s
- Intro0:00
- Normal Distribution0:05
- Bell Shaped Curve0:09
- Properties of the Normal Distribution1:02
- Area Under the Curve (Density Curve)1:07
- Symmetric About the Mean1:40
- Two Tails2:21
- Normal Distribution3:07
- Different Means3:10
- Different Standard Deviations4:32
Standard Normal Distribution
13m 25s
- Intro0:00
- Standard Normal Distribution0:06
- Z-Scores1:08
- Examples1:57
- More Examples4:43
- More Examples7:12
- Extra Example 1-1
- Extra Example 2-2
Standardizing a Normal Distribution
12m 22s
- Intro0:00
- Standardizing a Normal Distribution0:07
- Mean and Standard Deviation of X1:13
- Examples1:39
- More Examples3:22
- More Examples6:17
- Extra Example 1-1
- Extra Example 2-2
Applications of the Normal Distribution
12m 20s
- Intro0:00
- Standardizing a Normal Distribution0:08
- Example: US Debt0:59
- Example: Toy Assembly3:19
- Example: Soda5:04
- Example: Calculator7:27
- Extra Example 1-1
- Extra Example 2-2
Finding Values When the Probability is Known
12m 44s
- Intro0:00
- Example 10:10
- Example 21:32
- Example 33:12
- Example 4: Battery Life4:18
- Example 5: SAT Scores6:33
- Extra Example 1-1
- Extra Example 2-2
Section 7: Sampling Distributions
Population and Sampling Distributions
12m 2s
- Intro0:00
- Population Distribution0:06
- Example: Teaching Experience0:14
- Sampling Distribution1:31
- Example: Teaching Experience2:16
- Sampling Error5:29
- Random and No Non-Sampling Error6:00
- Example6:10
- Non-Sampling Error7:22
- Example7:38
- Example: Six Numbers9:17
Mean, Standard Deviation, and the Shape of the Sampling Distribution of the Sampling Mean
4m 57s
- Intro0:00
- Mean/Standard Deviation of Sample Mean0:10
- Estimator0:57
- Unbiased Estimator1:15
- Sampling Distribution of Sample Mean1:50
- Spread1:53
- Standard Deviation2:18
- Consistent Estimator2:40
- Shape of Sampling Distribution2:51
- Normal3:21
- Shape of Sampling Distribution, cont.3:50
- Central Limit Theorem4:15
Applications of the Sampling Distribution of the Sample Mean
14m 50s
- Intro0:00
- Example 1: Speed Limit0:08
- Example 2: Speed Limit2:50
- Example 3: Speed Limit4:20
- Example 4: Study Times6:20
- Example 5: Study Times9:02
- Extra Example 1-1
- Extra Example 2-2
Mean, Standard Deviation, and the Shape of the Sampling Distribution of the Sample Proportion
3m 58s
- Intro0:00
- Population vs Sample Proportions0:10
- Population Proportion0:16
- Sample Proportion0:23
- Sample: Eye Color0:36
- Mean/Standard Deviation of Sample Proportion1:47
- Mean1:51
- Unbiased Estimator2:07
- Standard Deviation2:28
- Shape of the Distribution3:07
Applications of the Sampling Distribution of the Sample Proportion
10m 45s
- Intro0:00
- Example 1: Retirement Plan0:07
- Example 2: Retirement Plan3:04
- Example 3: Voters4:35
- Extra Example 1-1
- Extra Example 2-2
Section 8: Estimation of the Mean and Proportion
Introduction to Estimation
12m 52s
- Intro0:00
- Estimation0:06
- Parameter0:29
- Estimate1:02
- Estimator1:10
- Example1:20
- Steps for Estimation2:21
- Example: Dartboard3:08
- Consistent/Bias3:41
- Inconsistent/Unbiased4:09
- Consistent/Unbiased4:44
- Point Estimate5:33
- Example5:50
- Interval Estimate6:35
- Margin of Error7:15
- Confidence Interval7:35
- Confidence Level7:55
- Example8:10
- More on Confidence Intervals10:18
- Confidence Level Increase11:41
- Sample Size Increase12:25
Estimation of a Population Mean: Standard Deviation Known
17m 3s
- Intro0:00
- Population is Normal, n<300:10
- Confidence Interval0:28
- Example 12:34
- Example 25:54
- When n>30, Any Distribution7:58
- Confidence Interval8:48
- Example 39:14
- Example 411:16
- Extra Example 1-1
- Extra Example 2-2
Sample Size for Estimation of a Population Mean
10m 39s
- Intro0:00
- Determining Sample Size0:07
- Finding n0:30
- Origin of Equation0:56
- Example 12:16
- Example 24:42
- Extra Example 1-1
- Extra Example 2-2
Estimation of Population Mean: Sigma Not Known
19m 25s
- Intro0:00
- t-Distribution0:10
- Examples: t-Distribution0:38
- Using the t-Distribution4:25
- Confidence Interval5:03
- Example 1: Waiting Time5:54
- Example 2: MPG9:35
- Extra Example 1-1
- Extra Example 2-2
Estimation of Population Proportion: Large Sample
17m 26s
- Intro0:00
- Population vs Sample Proportion0:10
- Confidence Intervals for p1:50
- Example 1: Credit2:18
- Example 2: Time4:59
- Sample Size for the Estimation of p7:31
- Margin of Error7:55
- Conservative Estimate8:17
- Example 3: Gambling8:40
- Example 4: Clocks10:53
- Extra Example 1-1
- Extra Example 2-2
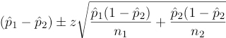
Large Sample Confidence Intervals for Difference in Population Proportion
16m 16s
- Intro0:00
- Sampling Distribution for Difference in Sample Proportion0:08
- Large and Independent Samples0:11
- Confidence Intervals for p1-p21:28
- Example 1: Toothpaste2:04
- Example 2: Seat Belts6:20
- Extra Example 1-1
- Extra Example 2-2
Confidence Intervals for a Difference in Means
27m 58s
- Intro0:00
- Independent Samples: Standard Deviations Known0:07
- Confidence Interval for Difference of Means1:12
- Example 1: Starting Salary1:35
- Example 2: Fill5:36
- Independent Samples: Standard Deviations Not Known7:54
- Pooled Standard Deviation for Two Samples8:46
- Confidence Interval for Difference of Means9:32
- Example 3: Caffeine10:35
- Example 4: Test Scores15:20
- Inference about Difference of Means for Paired Samples19:05
- Paired or Matched Sample19:21
- Inference about Difference of Means for Paired Samples20:58
- Extra Example 1-1
- Extra Example 2-2
Confidence Intervals for the Slope of a Least Squares Regression Line
18m 47s
- Intro0:00
- Sampling Distribution of b0:08
- Calculating the Estimator of Standard Deviation of b1:03
- Confidence Interval for Beta1:31
- Example 1: Age and Price2:24
- Example 2: Weld Diameter6:41
- Extra Example 1-1
- Extra Example 2-2
Section 9: Tests of Significance
Introduction: Hypothesis Tests
14m 9s
- Intro0:00
- Two Hypotheses0:13
- Null Hypothesis0:21
- Alternative Hypothesis0:36
- Example1:05
- Example: Two Hypotheses1:43
- Rejection and Non-Rejection Regions3:25
- Type 1 and Type 2 Errors5:30
- Type 1 Error6:44
- Significance Level7:08
- Type 2 Error7:42
- Power of the Test8:30
- Tails of the Test9:29
Large Sample Test for a Proportion
14m 30s
- Intro0:00
- Test Statistic Z0:08
- Why Z?0:29
- Example 1: TV Violence1:10
- Example 2: Smoking5:16
- Extra Example 1-1
- Extra Example 2-2
Large Sample Test for a Difference in Two Proportions
19m 14s
- Intro0:00
- Pooled Estimate of P1 and P20:09
- Example 1: Softball Bases1:34
- Example 2: Sleep Problems6:59
- Extra Example 1-1
- Extra Example 2-2
Test for a Mean
14m 57s
- Intro0:00
- Standard Deviation is Known0:07
- Central Limit Theory for n>300:32
- Example 1: Cheese Weight0:53
- Example 2: Observations3:53
- Standard Deviation Not Known6:15
- t-Distribution Usage6:24
- Degrees of Freedom6:53
- Example 3: Height7:01
- Example 4: Sampling9:50
- Extra Example 1-1
- Extra Example 2-2
Test for a Difference Between Two Means
23m 13s
- Intro0:00
- Standard Deviation Known, Unpaired0:08
- Example 1: Boredom1:17
- Example 2: Smoking4:15
- Population Standard Deviations Unknown, But Equal7:10
- Pooled Standard Deviation for Two Samples7:49
- Example 3: Diet Soda8:28
- Example 4: TV12:12
- Paired Samples15:50
- Example 5: Hormone Level16:33
- Example 6: Hypnotism19:43
Chi-Square Tests: One Way and Two Way
24m 33s
- Intro0:00
- Goodness of Fit Test0:07
- Right-Tailed Test0:52
- Example 1: Die Rolls1:16
- Example 2: Stolen Vehicles3:31
- Test of Independence7:02
- Example 3: Debt7:51
- Example 4: Contraceptive Use13:14
- Test of Homogeneity16:31
- Example 5: New Product17:09
- Example 6: Oil21:24
Hypothesis Testing for the Slope of a Least Squares Regression Line
17m 48s
- Intro0:00
- Sampling Distribution of b0:08
- Calculating the Estimator of Standard Deviation of b1:18
- Hypothesis Testing for Beta1:50
- Example 1: Age2:25
- Example 2: Weld Diameter6:42
- Extra Example 1-1
- Extra Example 2-2
Loading...
This is a quick preview of the lesson. For full access, please Log In or Sign up.
For more information, please see full course syllabus of Statistics
For more information, please see full course syllabus of Statistics
Statistics Large Sample Confidence Intervals for Difference in Population Proportion
Bookmark & Share
Embed
Share this knowledge with your friends!
Copy & Paste this embed code into your website’s HTML
Please ensure that your website editor is in text mode when you paste the code.(In Wordpress, the mode button is on the top right corner.)
×
Since this lesson is not free, only the preview will appear on your website.
- - Allow users to view the embedded video in full-size.
Next Lecture
Previous Lecture









































Answer Engine
1 −
.




0 answers
Post by Nicholas Wilkins on March 4, 2013
why don't you verify the conditions which are required