
Professor Switkes
Volume by Method of Disks and Washers
Slide Duration:Table of Contents
26m 29s
- Intro0:00
- What is a Function0:10
- Domain and Range0:21
- Vertical Line Test0:31
- Example: Vertical Line Test0:47
- Function Examples1:57
- Example: Squared2:10
- Example: Natural Log2:41
- Example: Exponential3:21
- Example: Not Function3:54
- Odd and Even Functions4:39
- Example: Even Function5:10
- Example: Odd Function5:53
- Odd and Even Examples6:48
- Odd Function6:55
- Even Function8:43
- Increasing and Decreasing Functions10:15
- Example: Increasing10:42
- Example: Decreasing10:55
- Increasing and Decreasing Examples11:41
- Example: Increasing11:48
- Example: Decreasing12:33
- Types of Functions13:32
- Polynomials13:45
- Powers14:06
- Trigonometric14:34
- Rational14:50
- Exponential15:13
- Logarithmic15:29
- Lecture Example 115:55
- Lecture Example 217:51
- Additional Example 3-1
- Additional Example 4-2
12m 29s
- Intro0:00
- Compositions0:09
- Alternative Notation0:32
- Three Functions0:47
- Lecture Example 11:19
- Lecture Example 23:25
- Lecture Example 36:45
- Additional Example 4-1
- Additional Example 5-2
20m 59s
- Intro0:00
- Rates of Change0:11
- Average Rate of Change0:21
- Instantaneous Rate of Change0:33
- Slope of the Secant Line0:46
- Slope of the Tangent Line1:00
- Lecture Example 11:14
- Lecture Example 26:36
- Lecture Example 311:30
- Additional Example 4-1
- Additional Example 5-2
22m 37s
- Intro0:00
- What is a Limit?0:10
- Lecture Example 10:56
- Lecture Example 25:28
- Lecture Example 39:27
- Additional Example 4-1
- Additional Example 5-2
28m 19s
- Intro0:00
- Evaluating Limits0:09
- Lecture Example 11:06
- Lecture Example 25:16
- Lecture Example 38:15
- Lecture Example 412:58
- Additional Example 5-1
- Additional Example 6-2
23m 39s
- Intro0:00
- Formal Definition0:13
- Template0:55
- Epsilon and Delta1:24
- Lecture Example 11:40
- Lecture Example 29:20
- Additional Example 3-1
- Additional Example 4-2
19m 9s
- Intro0:00
- Continuity0:13
- Continuous0:16
- Discontinuous0:37
- Intermediate Value Theorem0:52
- Example1:22
- Lecture Example 12:58
- Lecture Example 29:02
- Additional Example 3-1
- Additional Example 4-2
22m 52s
- Intro0:00
- Limit Definition of the Derivative0:11
- Three Versions0:13
- Lecture Example 11:02
- Lecture Example 24:33
- Lecture Example 36:49
- Lecture Example 410:11
- Additional Example 5-1
- Additional Example 6-2
26m 1s
- Intro0:00
- Power Rule of Differentiation0:14
- Power Rule with Constant0:41
- Sum/Difference1:15
- Lecture Example 11:59
- Lecture Example 26:48
- Lecture Example 311:22
- Additional Example 4-1
- Additional Example 5-2
14m 54s
- Statement of the Product Rule0:08
- Lecture Example 10:41
- Lecture Example 22:27
- Lecture Example 35:03
- Additional Example 4-1
- Additional Example 5-2
19m 17s
- Intro0:00
- Statement of the Quotient Rule0:07
- Carrying out the Differentiation0:23
- Quotient Rule in Words1:00
- Lecture Example 11:19
- Lecture Example 24:23
- Lecture Example 38:00
- Additional Example 4-1
- Additional Example 5-2
17m 43s
- Intro0:00
- Rates of Change0:11
- Lecture Example 10:44
- Lecture Example 25:16
- Lecture Example 37:38
- Additional Example 4-1
- Additional Example 5-2
26m 58s
- Intro0:00
- Six Basic Trigonometric Functions0:11
- Patterns0:47
- Lecture Example 11:18
- Lecture Example 27:38
- Lecture Example 312:15
- Lecture Example 414:25
- Additional Example 5-1
- Additional Example 6-2
23m 47s
- Intro0:00
- Statement of the Chain Rule0:09
- Chain Rule for Three Functions0:27
- Lecture Example 11:00
- Lecture Example 24:34
- Lecture Example 37:23
- Additional Example 4-1
- Additional Example 5-2
27m 5s
- Intro0:00
- Six Basic Inverse Trigonometric Functions0:10
- Lecture Example 11:11
- Lecture Example 28:53
- Lecture Example 312:37
- Additional Example 4-1
- Additional Example 5-2
15m 52s
- Intro0:00
- Point Slope Form0:10
- Lecture Example 10:47
- Lecture Example 23:15
- Lecture Example 36:10
- Additional Example 4-1
- Additional Example 5-2
30m 5s
- Intro0:00
- Purpose0:09
- Implicit Function0:20
- Lecture Example 10:32
- Lecture Example 27:14
- Lecture Example 311:22
- Lecture Example 416:43
- Additional Example 5-1
- Additional Example 6-2
13m 16s
- Intro0:00
- Notation0:08
- First Type0:19
- Second Type0:54
- Lecture Example 11:41
- Lecture Example 23:15
- Lecture Example 34:57
- Additional Example 4-1
- Additional Example 5-2
17m 42s
- Intro0:00
- Essential Equations0:12
- Lecture Example 11:34
- Lecture Example 22:48
- Lecture Example 35:54
- Additional Example 4-1
- Additional Example 5-2
14m 30s
- Intro0:00
- Essential Equations0:15
- Six Basic Hyperbolic Trigc Functions0:32
- Six Basic Inverse Hyperbolic Trig Functions1:21
- Lecture Example 11:48
- Lecture Example 23:45
- Lecture Example 37:09
- Additional Example 4-1
- Additional Example 5-2
29m 5s
- Intro0:00
- What Are Related Rates?0:08
- Lecture Example 10:35
- Lecture Example 25:25
- Lecture Example 311:54
- Additional Example 4-1
- Additional Example 5-2
23m 52s
- Intro0:00
- Essential Equations0:09
- Linear Approximation (Tangent Line)0:18
- Example: Graph1:18
- Differential (df)2:06
- Delta F5:10
- Lecture Example 16:38
- Lecture Example 211:53
- Lecture Example 315:54
- Additional Example 4-1
- Additional Example 5-2
18m 57s
- Intro0:00
- Minimums and Maximums0:09
- Absolute Minima and Maxima (Extrema)0:53
- Critical Points1:25
- Lecture Example 12:58
- Lecture Example 26:57
- Lecture Example 310:02
- Additional Example 4-1
- Additional Example 5-2
20m
- Intro0:00
- Theorems0:09
- Mean Value Theorem0:13
- Graphical Explanation0:36
- Rolle's Theorem2:06
- Graphical Explanation2:28
- Lecture Example 13:36
- Lecture Example 26:33
- Lecture Example 39:32
- Additional Example 4-1
- Additional Example 5-2
27m 11s
- Intro0:00
- Local Minimum and Local Maximum0:14
- Example1:01
- First and Second Derivative Test1:26
- First Derivative Test1:36
- Example2:00
- Second Derivative Test (Concavity)2:58
- Example: Concave Down3:15
- Example: Concave Up3:54
- Inconclusive4:19
- Lecture Example 15:23
- Lecture Example 212:03
- Lecture Example 315:54
- Additional Example 4-1
- Additional Example 5-2
23m 9s
- Intro0:00
- Using L'Hopital's Rule0:09
- Informal Definition0:34
- Lecture Example 11:27
- Lecture Example 24:00
- Lecture Example 35:40
- Lecture Example 49:38
- Additional Example 5-1
- Additional Example 6-2
40m 16s
- Intro0:00
- Collecting Information0:15
- Domain and Range0:17
- Intercepts0:21
- Symmetry Properties (Even/Odd/Periodic)0:33
- Asymptotes (Vertical/Horizontal/Slant)0:45
- Critical Points1:15
- Increasing/Decreasing Intervals1:24
- Inflection Points1:38
- Concave Up/Down1:52
- Maxima/Minima2:03
- Lecture Example 12:58
- Lecture Example 210:52
- Lecture Example 317:55
- Additional Example 4-1
- Additional Example 5-2
25m 37s
- Intro0:00
- Real World Problems0:08
- Sketch0:11
- Interval0:20
- Rewrite in One Variable0:26
- Maximum or Minimum0:34
- Critical Points0:42
- Optimal Result0:52
- Lecture Example 11:05
- Lecture Example 26:12
- Lecture Example 313:31
- Additional Example 4-1
- Additional Example 5-2
25m 13s
- Intro0:00
- Approximating Using Newton's Method0:10
- Good Guesses for Convergence0:32
- Lecture Example 10:49
- Lecture Example 24:21
- Lecture Example 37:59
- Additional Example 4-1
- Additional Example 5-2
36m 50s
- Intro0:00
- Three Approximations0:12
- Right Endpoint, Left Endpoint, Midpoint0:22
- Formulas1:05
- Velocity and Distance1:35
- Lecture Example 12:28
- Lecture Example 212:10
- Lecture Example 319:43
- Additional Example 4-1
- Additional Example 5-2
22m 2s
- Intro0:00
- Important Equations0:22
- Riemann Sum0:28
- Integral1:58
- Integrand2:35
- Limits of Integration (Upper Limit, Lower Limit)2:43
- Other Equations3:05
- Fundamental Theorem of Calculus4:00
- Lecture Example 15:04
- Lecture Example 210:43
- Lecture Example 313:52
- Additional Example 4-1
- Additional Example 5-2
23m 19s
- Intro0:00
- U-Substitution0:13
- Important Equations0:30
- Purpose0:36
- Lecture Example 11:30
- Lecture Example 26:17
- Lecture Example 39:00
- Lecture Example 411:24
- Additional Example 5-1
- Additional Example 6-2
19m 59s
- Intro0:00
- Area Between Two Curves0:12
- Graphic Description0:34
- Lecture Example 11:44
- Lecture Example 25:39
- Lecture Example 38:45
- Additional Example 4-1
- Additional Example 5-2
24m 22s
- Intro0:00
- Important Equations0:16
- Equation 1: Rotation about x-axis (disks)0:27
- Equation 2: Two curves about x-axis (washers)3:38
- Equation 3: Rotation about y-axis5:31
- Lecture Example 16:05
- Lecture Example 28:28
- Lecture Example 311:55
- Additional Example 4-1
- Additional Example 5-2
30m 29s
- Intro0:00
- Important Equations0:50
- Equation 1: Rotation about y-axis1:04
- Equation 2: Rotation about y-axis (2 curves)7:34
- Equation 3: Rotation about x-axis8:15
- Lecture Example 18:57
- Lecture Example 214:26
- Lecture Example 318:15
- Additional Example 4-1
- Additional Example 5-2
16m 31s
- Intro0:00
- Important Equations0:11
- Origin of Formula0:34
- Lecture Example 12:51
- Lecture Example 25:30
- Lecture Example 38:13
- Additional Example 4-1
- Additional Example 5-2
23m 58s
- Intro0:00
- Slope Function of f(x)0:41
- Slope is Zero0:53
- Slope is Positive1:03
- Slope is Negative1:13
- Slope Function of f'(x)1:31
- Slope is Zero1:42
- Slope is Positive1:48
- Slope is Negative1:54
- Lecture Example 12:23
- Lecture Example 28:06
- Lecture Example 312:36
- Additional Example 4-1
- Additional Example 5-2
18m 32s
- Intro0:00
- Things to Remember0:13
- Graphic Description0:42
- Lecture Example 11:44
- Lecture Example 26:59
- Lecture Example 39:46
- Additional Example 4-1
- Additional Example 5-2
17m 4s
- Intro0:00
- Differential Equations0:10
- Focus on Exponential Growth/Decay0:27
- Separating Variables0:47
- Lecture Example 11:35
- Lecture Example 26:41
- Lecture Example 39:36
- Additional Example 4-1
- Additional Example 5-2
For more information, please see full course syllabus of College Calculus: Level I
College Calculus: Level I Volume by Method of Disks and Washers
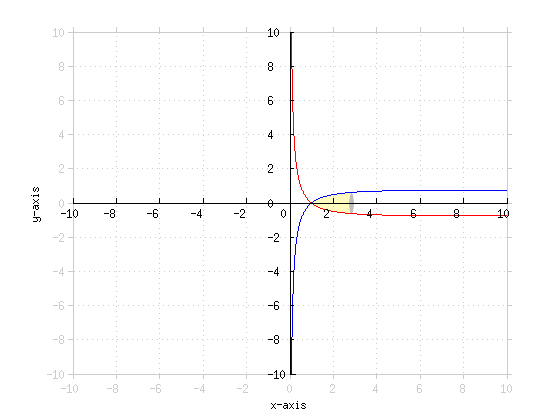
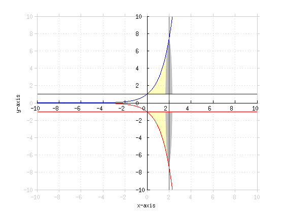
In this lesson we are going to take a look at using integration to compute volumes by means of the method called Method of Disks and Washers. The Disc Method is used for calculating the volume of a solid of revolution of a solid-state material when integrating along the axis of revolution. This method models the resulting three-dimensional shape as a stack of an infinite number of disks of varying radius and infinitesimal thickness. It is also possible to use the same principles with washers instead of disks (the Washer Method') to obtain hollow solids of revolutions. So, we are going to introduce and explain equations for this method and then we will do some examples.
Share this knowledge with your friends!
Copy & Paste this embed code into your website’s HTML
Please ensure that your website editor is in text mode when you paste the code.(In Wordpress, the mode button is on the top right corner.)
- - Allow users to view the embedded video in full-size.









































Answer Engine















0 answers
Post by Richard Gregory on October 17, 2013
Hi. I worked example three by converting the graph and co-ordinates into x values and then subtracting the area under the curve from the total disc volume. Is this a valid method? The answer was the same.
0 answers
Post by Kimberly McDevitt on November 19, 2012
There is something wrong with example number 4. The video jams around 1:50 and plays like a broken record. Please fix. Thank you.
0 answers
Post by Daniela Valencia on April 17, 2012
The lecture examples are very simple for a college calculus class. No very helpful.
1 answer
Last reply by: Mohanraj Ponraj
Sat Jan 19, 2013 10:45 AM
Post by Matthew Odunjo on June 21, 2011
please I didnt why the first Big radius is 4 and the small being x
2 answers
Last reply by: Mary Shriver
Sat May 26, 2012 9:54 AM
Post by Ruben Ayllon Ayllon on April 11, 2011
In Lecture Example 1 isn't the answer 128/7 pie. If not could you explain how you got the answer?
0 answers
Post by Fatima Sulaiman on May 4, 2010
how rude. These videos are pretty good except there needs to be 3d computerized examples for the area and volume problems.